
Teorema del binomio
Teorema del binomio
CONCEPTO DEL TEOREMA DEL BINOMIO
El teorema del binomio, también llamado binomio de Newton, expresa la enésima potencia de un binomio como un polinomio. El desarrollo del binomio ( ) n a + b posee singular importancia ya que aparece con mucha frecuencia en Matemáticas y posee diversas aplicaciones en otras áreas del conocimiento.
FÓRMULA GENERAL DEL BINOMIO
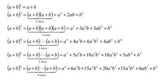
Sea un binomio de la forma (a +b). Si a este binomio se le multiplica sucesivamente por si mismo se obtienen las siguientes potencias:

De lo anterior, se aprecia que:
a) El desarrollo de n (a + b) tiene n +1 términos
b) Las potencias de a empiezan con n en el primer término y van disminuyendo en cada término, hasta cero en el último
c) Las potencias de b empiezan con exponente cero en el primer término y van aumentando en uno con cada término, hasta n en el último.
d) Para cada término la suma de los exponentes de a y b es n .
e) El coeficiente del primer término es uno y el del segundo es n .
f) El coeficiente de un término cualquiera es igual al producto del coeficiente del término anterior por el exponente de a dividido entre el número que indica el orden de ese término.
g) Los términos que equidistan de los extremos tienen coeficientes iguales.
